Официальное опубликование правовых актов
ОФИЦИАЛЬНОЕ ОПУБЛИКОВАНИЕ
Постановление Правительства Республики Тыва от 18.03.2025 № 112
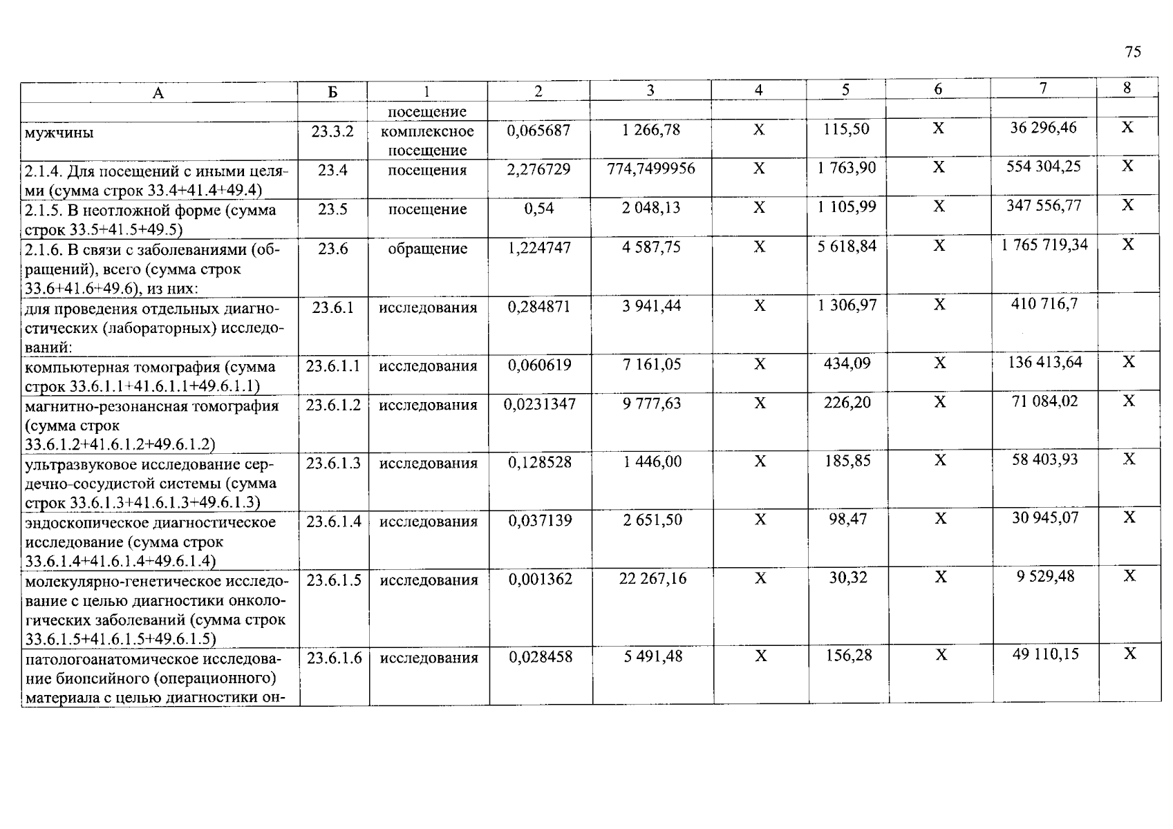
"О внесении изменений в Территориальную программу государственных гарантий бесплатного оказания гражданам медицинской помощи в Республике Тыва на 2025 год и на плановый период 2026 и 2027 годов"
Номер опубликования: 1700202503210006
Дата опубликования: 21.03.2025
Страница №75 из 113:
Увеличить