Официальное опубликование правовых актов
ОФИЦИАЛЬНОЕ ОПУБЛИКОВАНИЕ
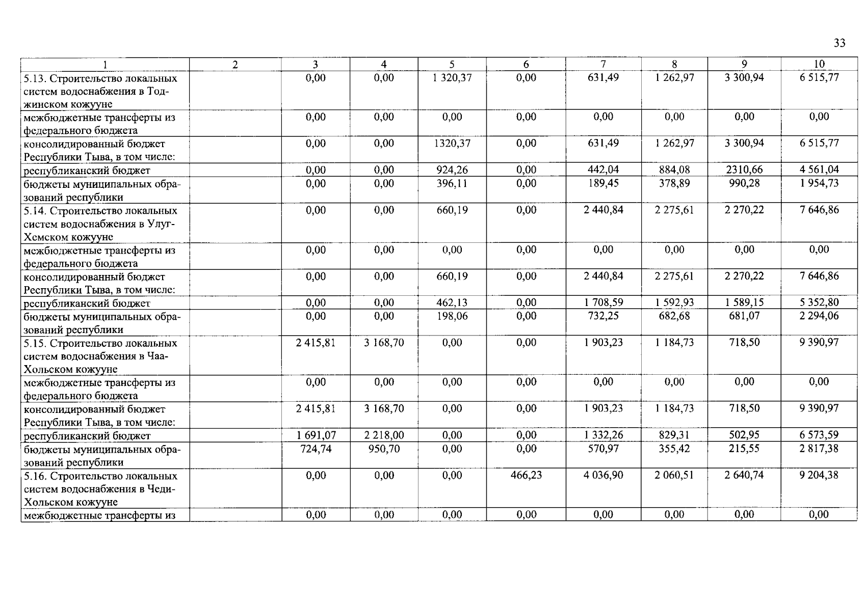
Постановление Правительства Республики Тыва от 06.03.2025 № 80
"О внесении изменений в государственную программу Республики Тыва "Повышение эффективности и надежности функционирования жилищно-коммунального хозяйства Республики Тыва"
Номер опубликования: 1700202503100001
Дата опубликования: 10.03.2025
Страница №33 из 41:
Увеличить