Официальное опубликование правовых актов
ОФИЦИАЛЬНОЕ ОПУБЛИКОВАНИЕ
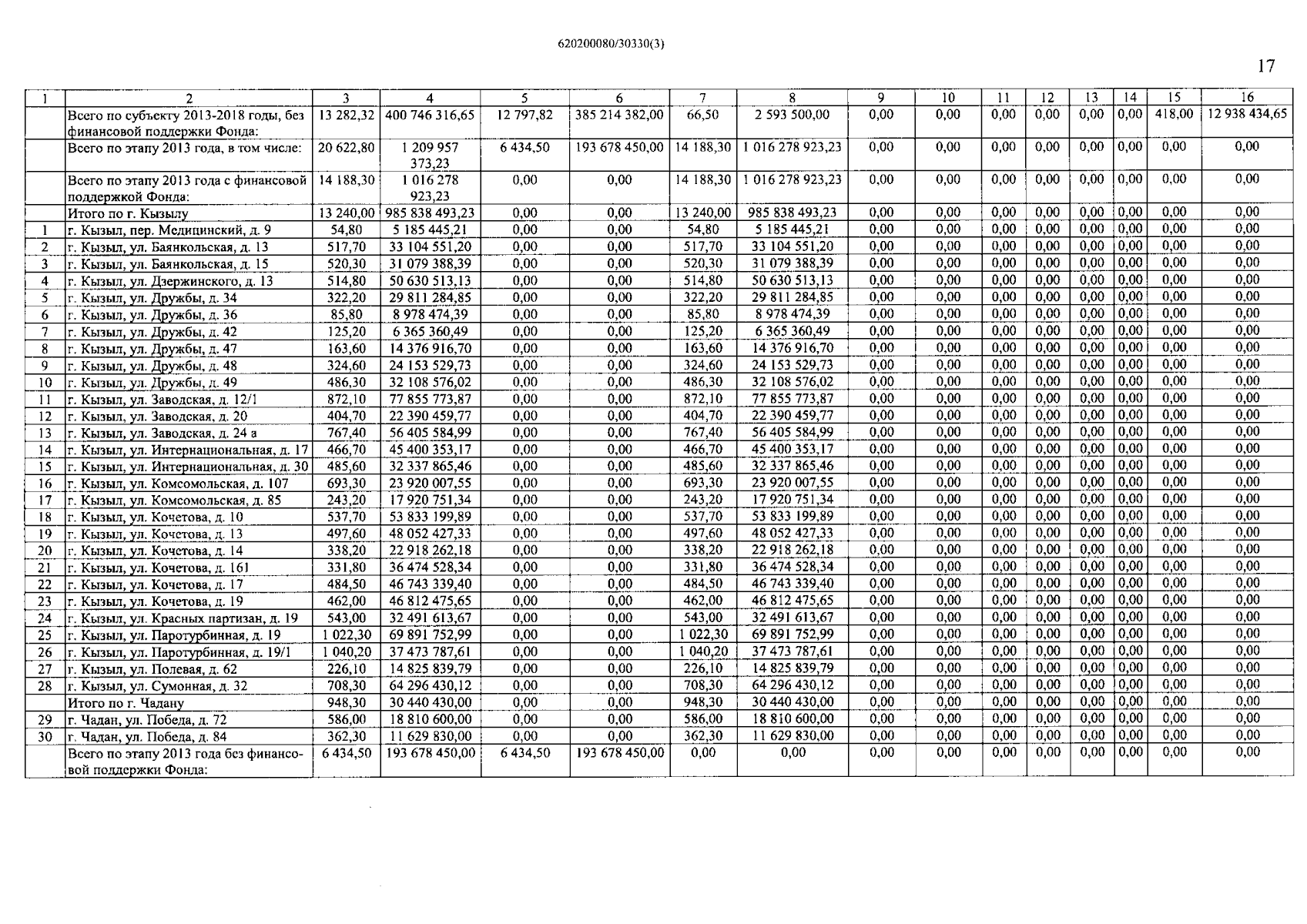
Постановление Правительства Республики Тыва от 30.01.2025 № 27
"О внесении изменений в республиканскую адресную программу по переселению граждан из аварийного жилищного фонда в Республике Тыва на 2013-2023 годы"
Номер опубликования: 1700202501310004
Дата опубликования: 31.01.2025
Страница №17 из 26:
Увеличить