Официальное опубликование правовых актов
ОФИЦИАЛЬНОЕ ОПУБЛИКОВАНИЕ
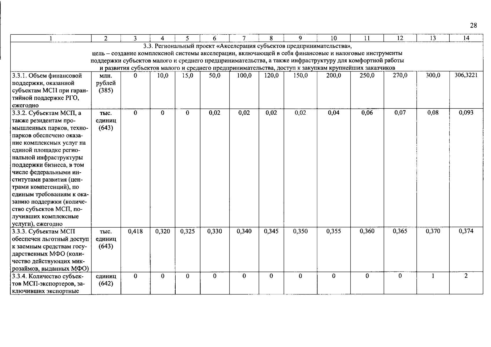
Постановление Правительства Республики Тыва от 28.12.2024 № 613
"О внесении изменений в государственную программу Республики Тыва "Развитие малого и среднего предпринимательства в Республике Тыва"
Номер опубликования: 1700202501030004
Дата опубликования: 03.01.2025
Страница №28 из 47:
Увеличить