Официальное опубликование правовых актов
ОФИЦИАЛЬНОЕ ОПУБЛИКОВАНИЕ
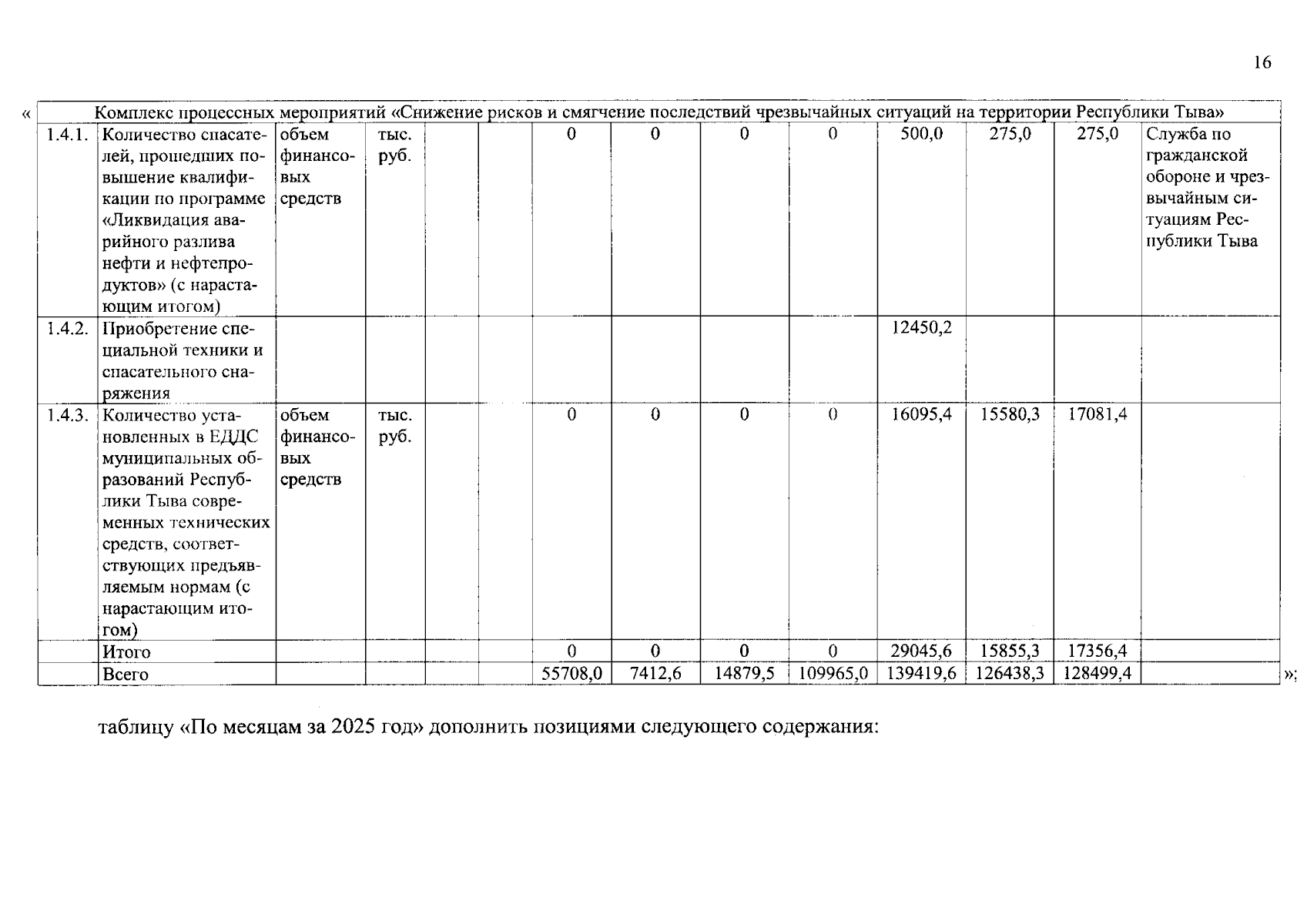
Постановление Правительства Республики Тыва от 16.10.2024 № 496
"О внесении изменений в государственную программу Республики Тыва "Защита населения и территорий от чрезвычайных ситуаций природного и техногенного характера на территории Республики Тыва"
Номер опубликования: 1700202410180009
Дата опубликования: 18.10.2024
Страница №16 из 34:
Увеличить