Официальное опубликование правовых актов
ОФИЦИАЛЬНОЕ ОПУБЛИКОВАНИЕ
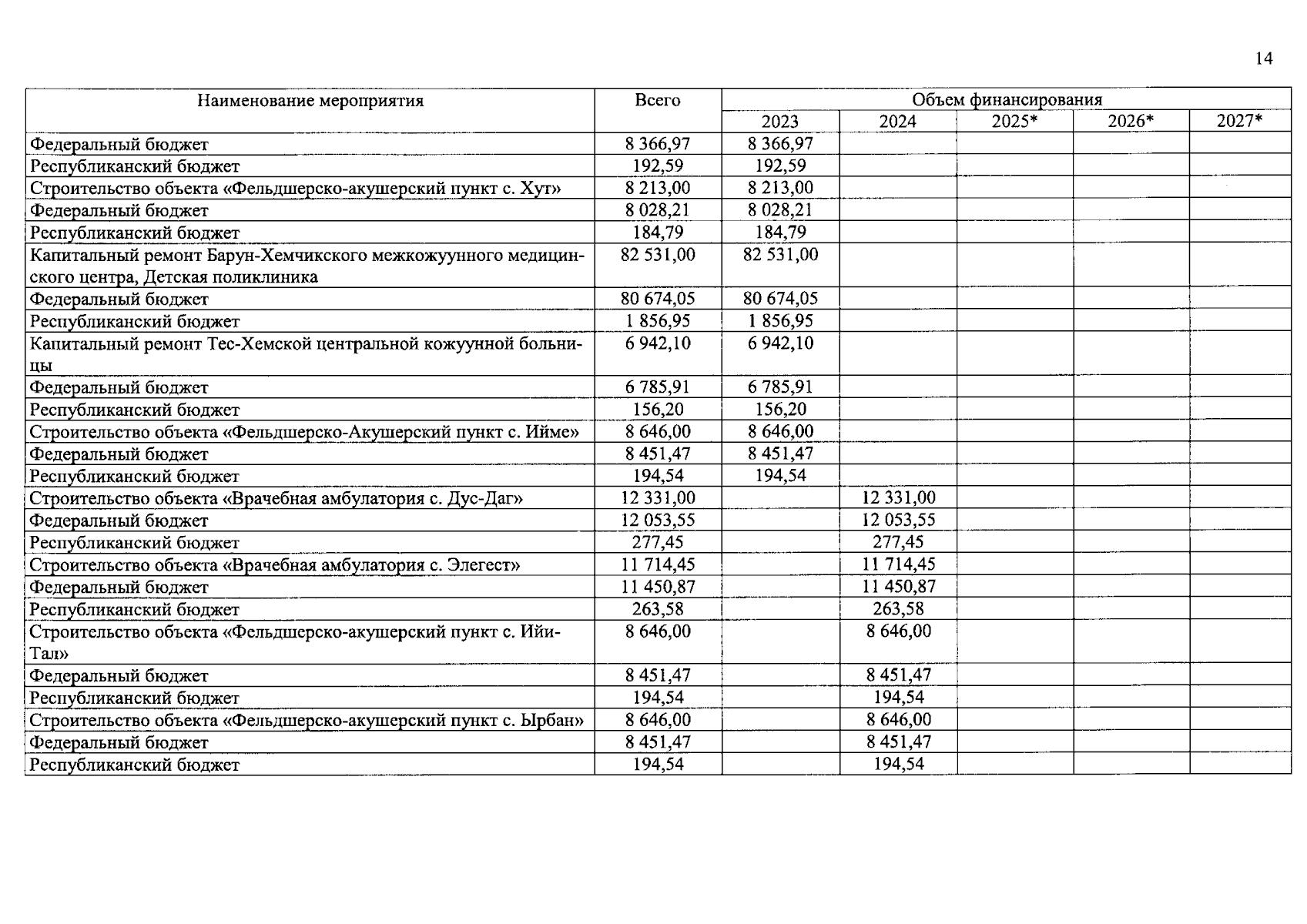
Распоряжение Правительства Республики Тыва от 08.07.2024 № 394-р
"Об утверждении пятилетнего плана мероприятий по строительству, реконструкции, капитальному ремонту объектов капитального строительства на 2023-2027 годы в рамках государственных программ и региональных проектов Республики Тыва"
Номер опубликования: 1700202407100003
Дата опубликования: 10.07.2024
Страница №16 из 31:
Увеличить