Официальное опубликование правовых актов
ОФИЦИАЛЬНОЕ ОПУБЛИКОВАНИЕ
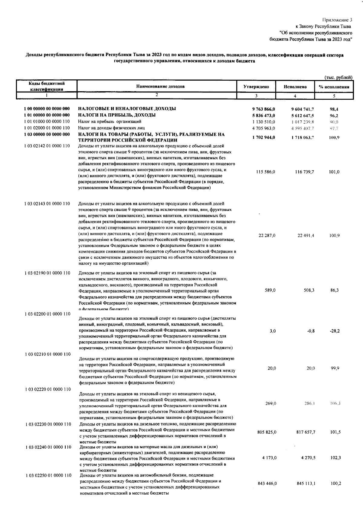
Закон Республики Тыва от 13.06.2024 № 1059-ЗРТ
"Об исполнении республиканского бюджета Республики Тыва за 2023 год"
Номер опубликования: 1700202406140013
Дата опубликования: 14.06.2024
Страница №7 из 194:
Увеличить