Официальное опубликование правовых актов
ОФИЦИАЛЬНОЕ ОПУБЛИКОВАНИЕ
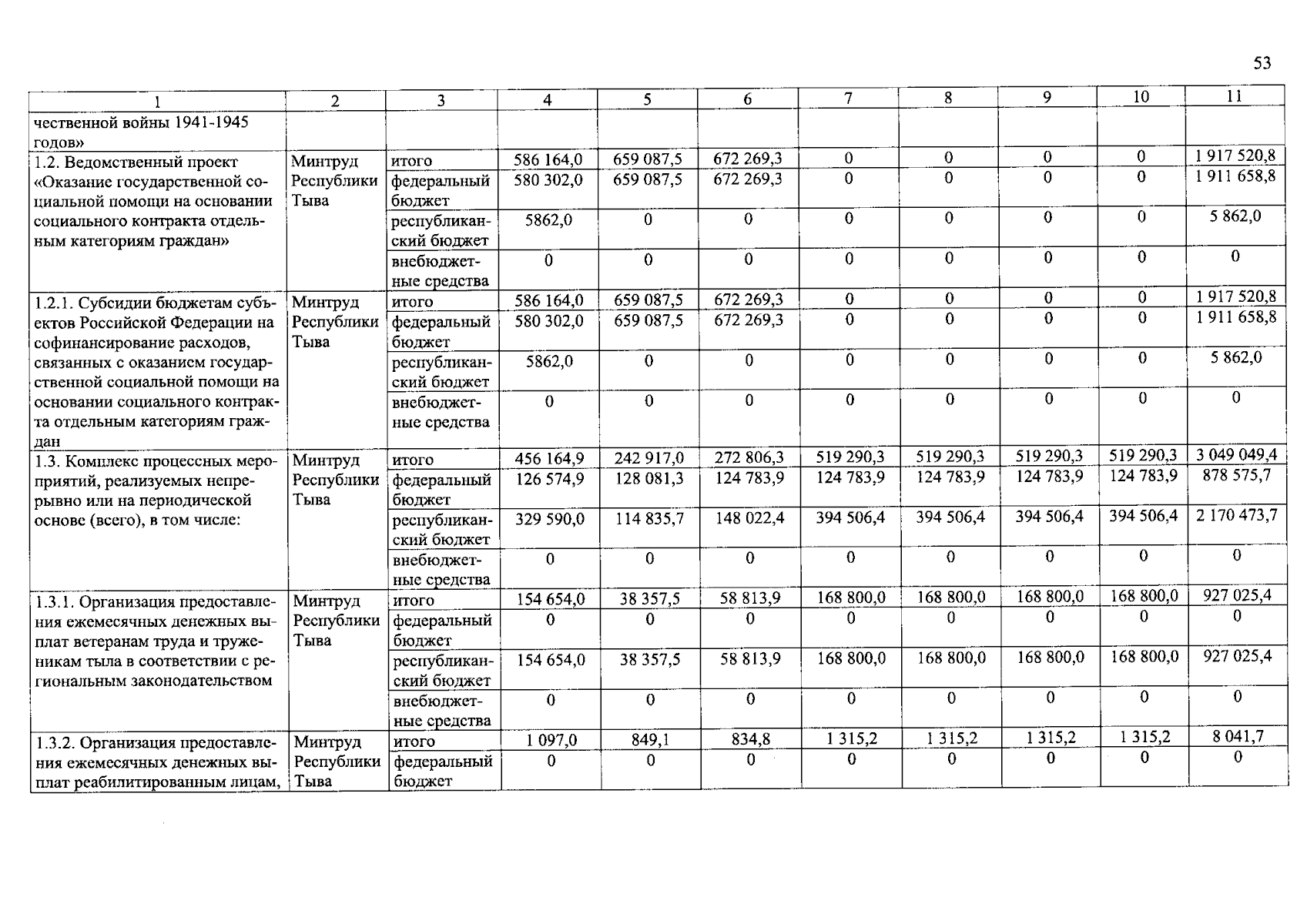
Постановление Правительства Республики Тыва от 16.05.2024 № 230
"О внесении изменений в государственную программу Республики Тыва "Социальная поддержка граждан в Республике Тыва"
Номер опубликования: 1700202405170003
Дата опубликования: 17.05.2024
Страница №53 из 67:
Увеличить