Официальное опубликование правовых актов
ОФИЦИАЛЬНОЕ ОПУБЛИКОВАНИЕ
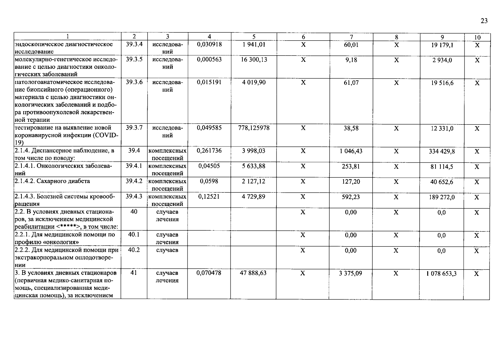
Постановление Правительства Республики Тыва от 16.04.2024 № 187
"О внесении изменений в Территориальную программу государственных гарантий бесплатного оказания гражданам медицинской помощи в Республике Тыва на 2024 год и на плановый период 2025 и 2026 годов"
Номер опубликования: 1700202404190006
Дата опубликования: 19.04.2024
Страница №23 из 43:
Увеличить