Официальное опубликование правовых актов
ОФИЦИАЛЬНОЕ ОПУБЛИКОВАНИЕ
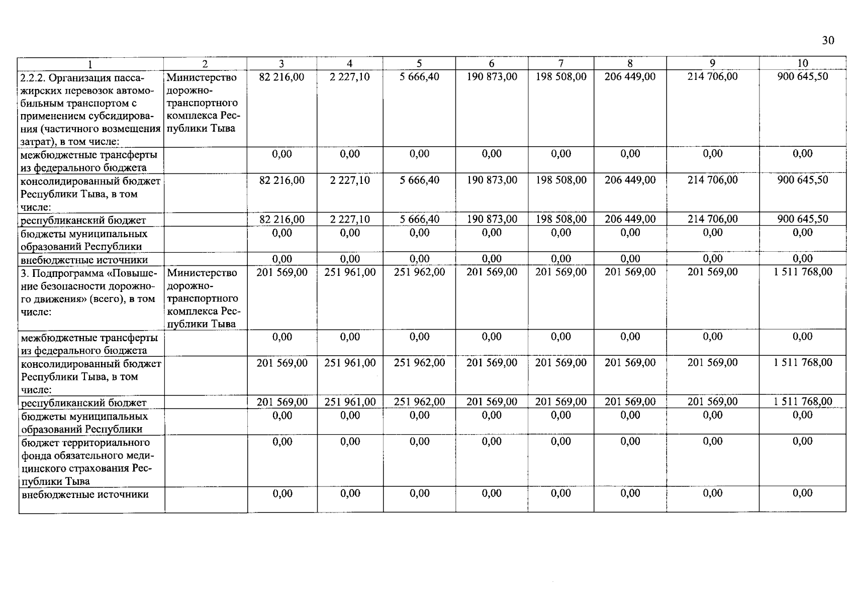
Постановление Правительства Республики Тыва от 10.04.2024 № 164
"О внесении изменений в государственную программу Республики Тыва "Развитие транспортной системы Республики Тыва"
Номер опубликования: 1700202404120011
Дата опубликования: 12.04.2024
Страница №30 из 54:
Увеличить