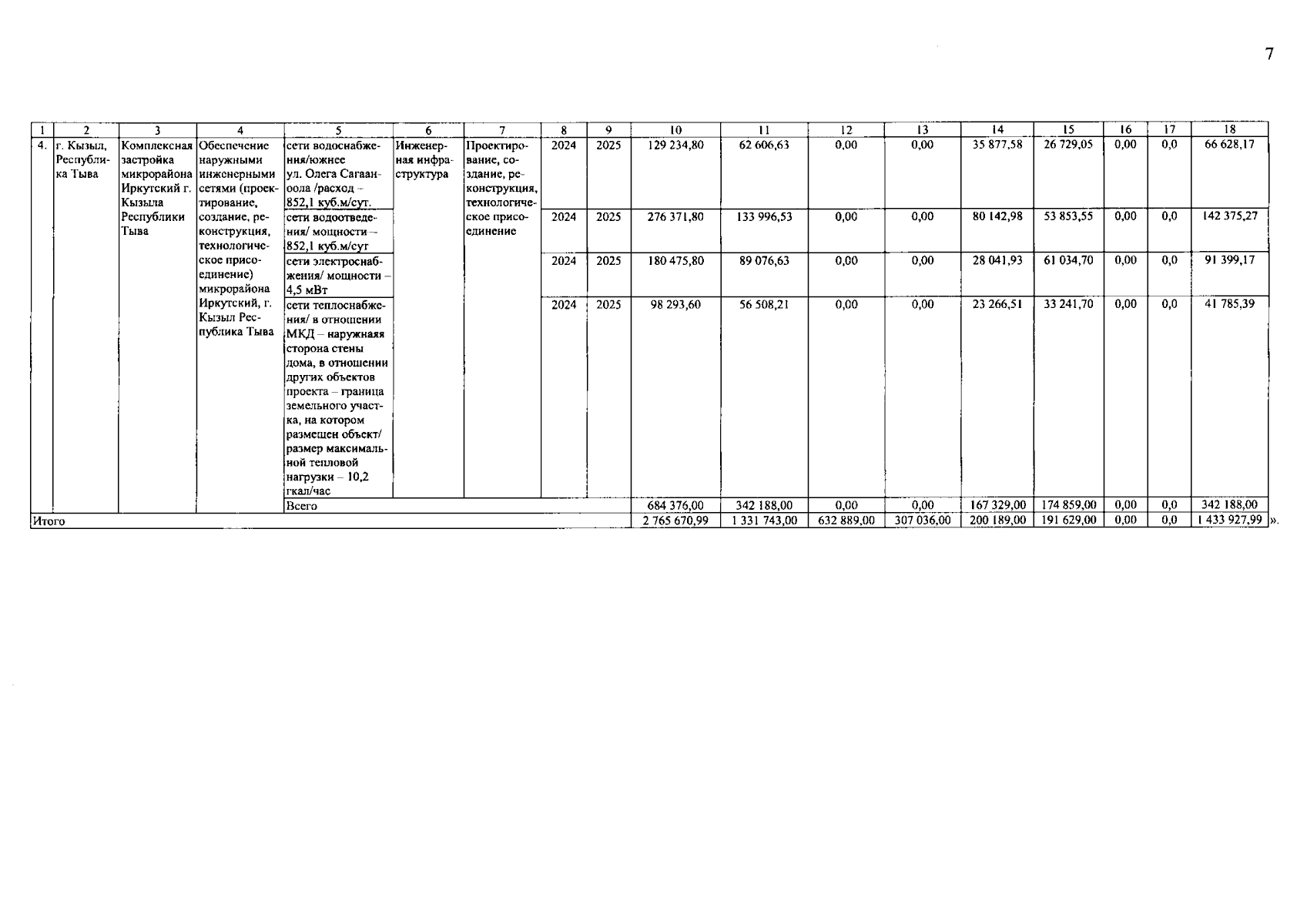
Распоряжение Правительства Республики Тыва от 12.03.2024 № 117-р
"О внесении изменения в детализированный перечень мероприятий, реализуемых в рамках инфраструктурных проектов Республики Тыва, отобранных в соответствии с постановлением Правительства Российской Федерации от 14 июля 2021 г. № 1189 "Об утверждении Правил отбора инфраструктурных проектов, источником финансового обеспечения расходов на реализацию которых являются бюджетные кредиты из федерального бюджета бюджетам субъектов Российской Федерации на финансовое обеспечение реализации инфраструктурных проектов, и о внесении изменений в Положение о Правительственной комиссии по региональному развитию в Российской Федерации"
"О внесении изменения в детализированный перечень мероприятий, реализуемых в рамках инфраструктурных проектов Республики Тыва, отобранных в соответствии с постановлением Правительства Российской Федерации от 14 июля 2021 г. № 1189 "Об утверждении Правил отбора инфраструктурных проектов, источником финансового обеспечения расходов на реализацию которых являются бюджетные кредиты из федерального бюджета бюджетам субъектов Российской Федерации на финансовое обеспечение реализации инфраструктурных проектов, и о внесении изменений в Положение о Правительственной комиссии по региональному развитию в Российской Федерации"
Номер опубликования: 1700202403150002
Дата опубликования:
15.03.2024
