Официальное опубликование правовых актов
ОФИЦИАЛЬНОЕ ОПУБЛИКОВАНИЕ
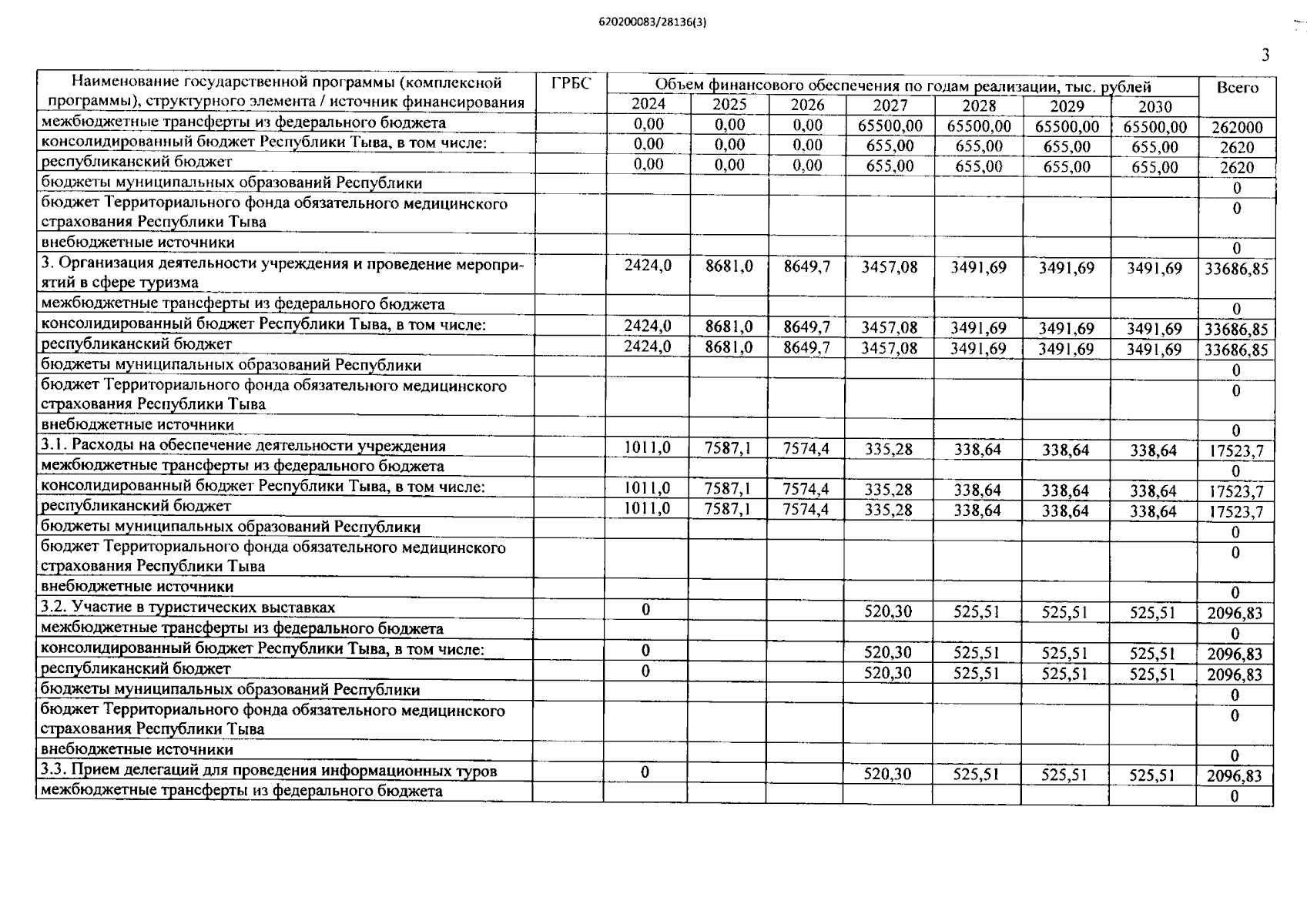
Постановление Правительства Республики Тыва от 22.11.2023 № 854
"Об утверждении государственной программы Республики Тыва "Развитие туризма в Республике Тыва"
Номер опубликования: 1700202311280004
Дата опубликования: 28.11.2023
Страница №21 из 60:
Увеличить