Официальное опубликование правовых актов
ОФИЦИАЛЬНОЕ ОПУБЛИКОВАНИЕ
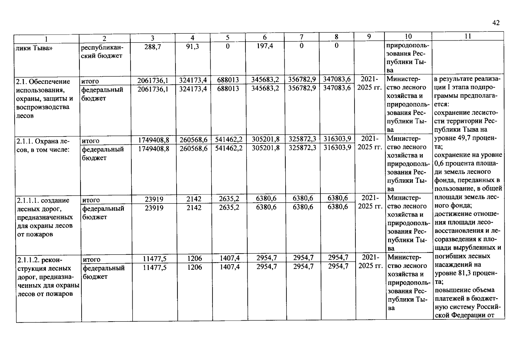
Постановление Правительства Республики Тыва от 08.11.2023 № 811
"О внесении изменений в государственную программу Республики Тыва "Воспроизводство и использование природных ресурсов на 2021-2025 годы"
Номер опубликования: 1700202311090002
Дата опубликования: 09.11.2023
Страница №42 из 82:
Увеличить