Официальное опубликование правовых актов
ОФИЦИАЛЬНОЕ ОПУБЛИКОВАНИЕ
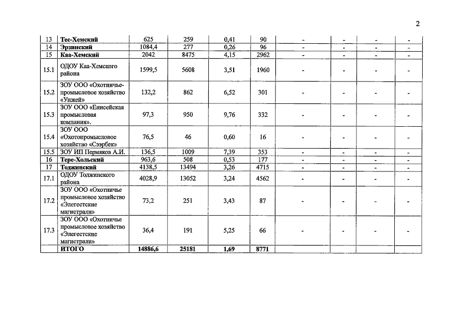
Указ Главы Республики Тыва от 31.07.2023 № 250
"О лимитах добычи охотничьих ресурсов на территории Республики Тыва на период с 1 августа 2023 года до 1 августа 2024 года"
Номер опубликования: 1700202308030004
Дата опубликования: 03.08.2023
Страница №17 из 21:
Увеличить