Официальное опубликование правовых актов
ОФИЦИАЛЬНОЕ ОПУБЛИКОВАНИЕ
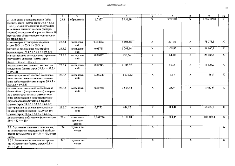
Постановление Правительства Республики Тыва от 27.07.2023 № 563
"О внесении изменений в Территориальную программу государственных гарантий бесплатного оказания гражданам медицинской помощи в Республике Тыва на 2023 год и на плановый период 2024 и 2025 годов"
Номер опубликования: 1700202307280005
Дата опубликования: 28.07.2023
Страница №10 из 40:
Увеличить