Постановление Правительства Республики Тыва от 22.03.2023 № 181
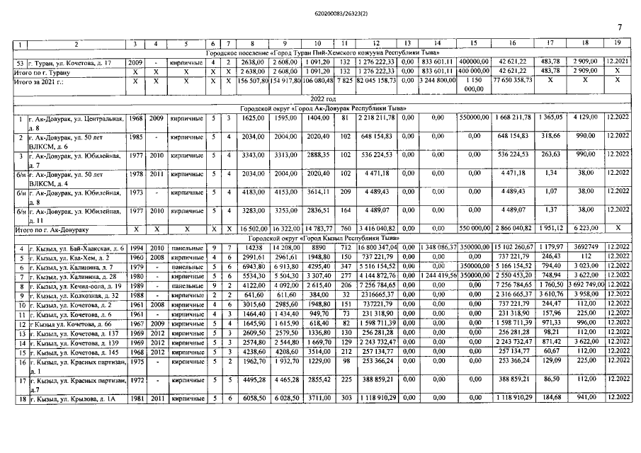
"О внесении изменения в краткосрочный план реализации региональной программы "Капитальный ремонт общего имущества в многоквартирных домах, расположенных на территории Республики Тыва, на 2014-2043 годы" на 2020-2022 годы"
"О внесении изменения в краткосрочный план реализации региональной программы "Капитальный ремонт общего имущества в многоквартирных домах, расположенных на территории Республики Тыва, на 2014-2043 годы" на 2020-2022 годы"
Номер опубликования: 1700202303230004
Дата опубликования:
23.03.2023
