Официальное опубликование правовых актов
ОФИЦИАЛЬНОЕ ОПУБЛИКОВАНИЕ
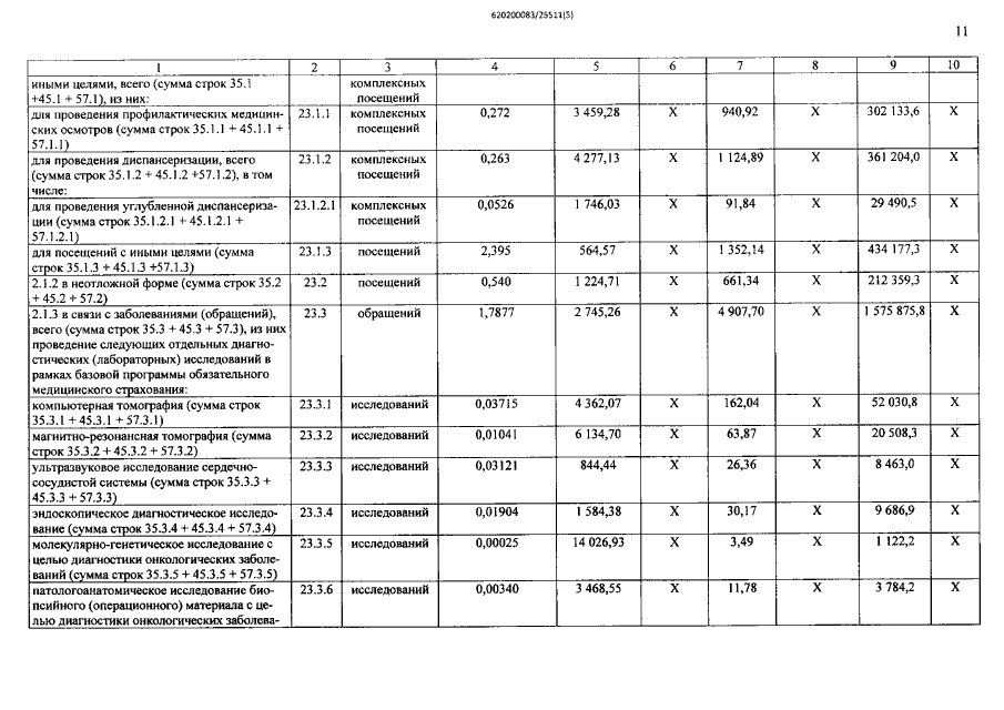
Постановление Правительства Республики Тыва от 24.11.2022 № 756
"О внесении изменений в Территориальную программу государственных гарантий бесплатного оказания гражданам медицинской помощи в Республике Тыва на 2022 год и на плановый период 2023 и 2024 годов"
Номер опубликования: 1700202211250004
Дата опубликования: 25.11.2022
Страница №11 из 22:
Увеличить