Официальное опубликование правовых актов
ОФИЦИАЛЬНОЕ ОПУБЛИКОВАНИЕ
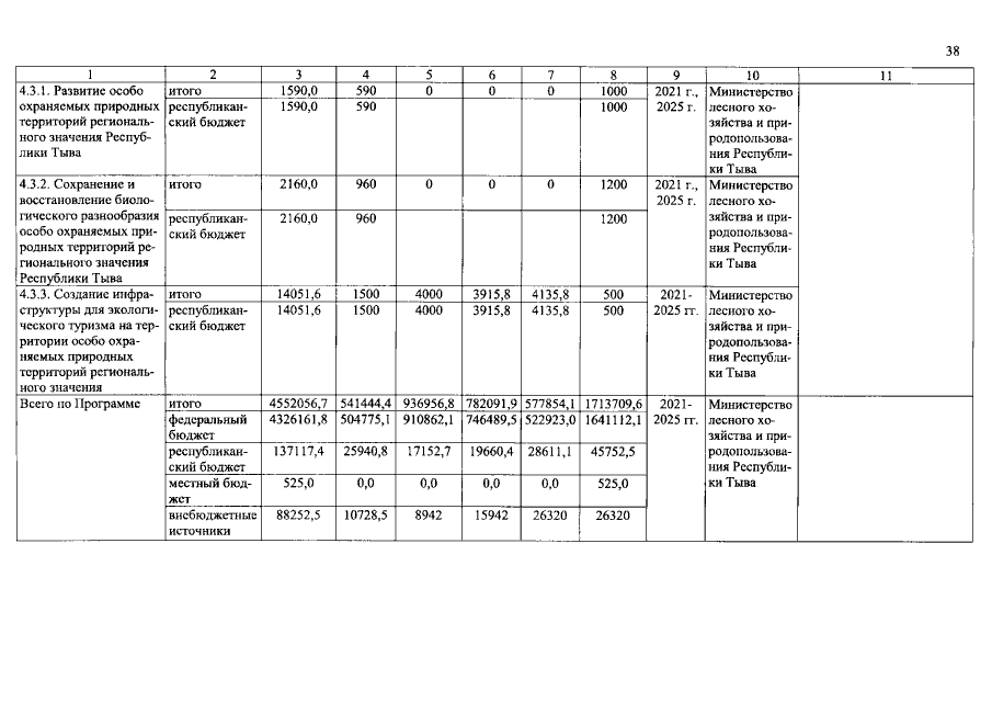
Постановление Правительства Республики Тыва от 24.11.2022 № 757
"О внесении изменений в государственную программу Республики Тыва "Воспроизводство и использование природных ресурсов на 2021-2025 годы"
Номер опубликования: 1700202211250001
Дата опубликования: 25.11.2022
Страница №38 из 59:
Увеличить