Официальное опубликование правовых актов
ОФИЦИАЛЬНОЕ ОПУБЛИКОВАНИЕ
Постановление Правительства Республики Тыва от 17.08.2022 № 515
"О внесении изменений в постановление Правительства Республики Тыва от 30 ноября 2012 г. № 667"
Номер опубликования: 1700202208230002
Дата опубликования: 23.08.2022
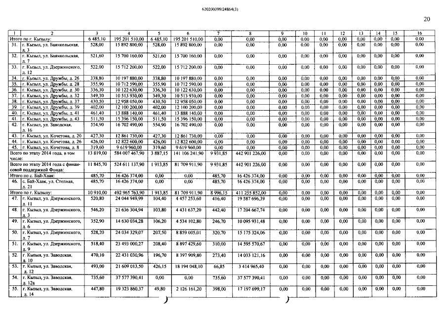
Страница №20 из 35:
Увеличить