Официальное опубликование правовых актов
ОФИЦИАЛЬНОЕ ОПУБЛИКОВАНИЕ
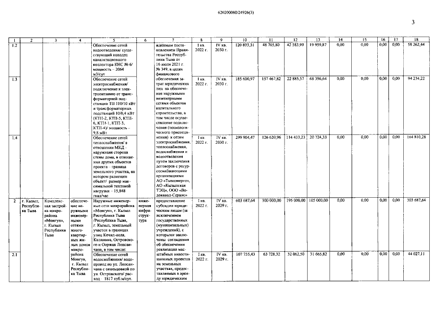
Распоряжение Правительства Республики Тыва от 12.08.2022 № 449-р
"О внесении изменения в распоряжение Правительства Республики Тыва от 1 ноября 2021 г. № 486-р"
Номер опубликования: 1700202208190001
Дата опубликования: 19.08.2022
Страница №3 из 7:
Увеличить