Официальное опубликование правовых актов
ОФИЦИАЛЬНОЕ ОПУБЛИКОВАНИЕ
Постановление Правительства Республики Тыва от 13.07.2022 № 449
"О внесении изменений в постановление Правительства Республики Тыва от 30 декабря 2021 г. № 756"
Номер опубликования: 1700202207150008
Дата опубликования: 15.07.2022
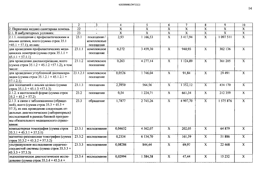
Страница №14 из 32:
Увеличить