Официальное опубликование правовых актов
ОФИЦИАЛЬНОЕ ОПУБЛИКОВАНИЕ
Постановление Правительства Республики Тыва от 22.06.2022 № 389
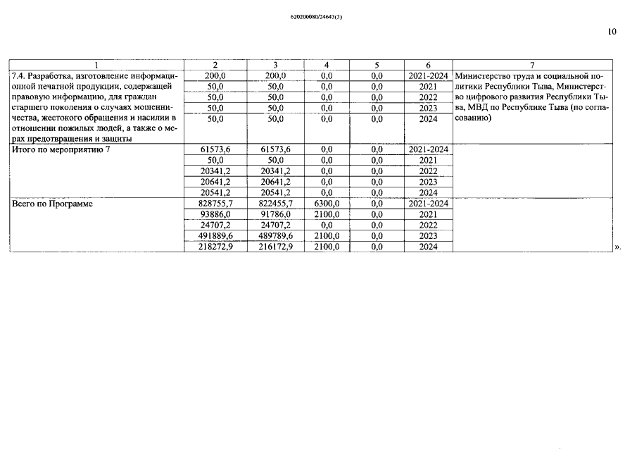
"О внесении изменений в государственную программу Республики Тыва "Обеспечение общественного порядка и противодействие преступности в Республике Тыва на 2021-2024 годы"
Номер опубликования: 1700202206230001
Дата опубликования: 23.06.2022
Страница №10 из 11:
Увеличить