Официальное опубликование правовых актов
ОФИЦИАЛЬНОЕ ОПУБЛИКОВАНИЕ
Постановление Правительства Республики Тыва от 16.06.2022 № 381
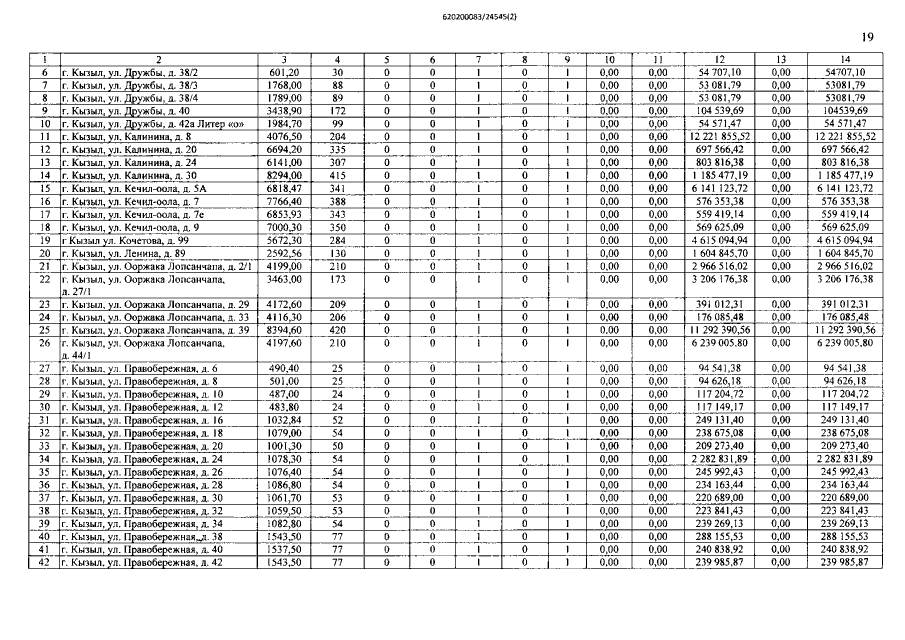
"О внесении изменений в краткосрочный план реализации региональной программы "Капитальный ремонт общего имущества в многоквартирных домах, расположенных на территории Республики Тыва, на 2014-2043 годы" на 2020-2022 годы"
Номер опубликования: 1700202206210011
Дата опубликования: 21.06.2022
Страница №19 из 22:
Увеличить