Официальное опубликование правовых актов
ОФИЦИАЛЬНОЕ ОПУБЛИКОВАНИЕ
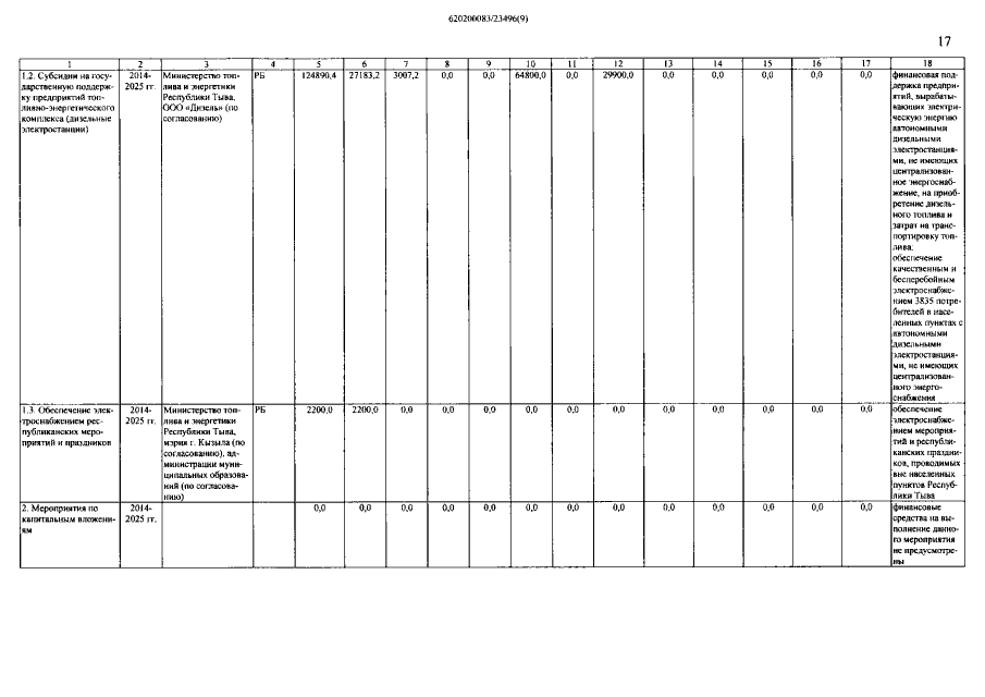
Постановление Правительства Республики Тыва от 10.11.2021 № 610
"О внесении изменений в государственную программу Республики Тыва "Энергоэффективность и развитие энергетики на 2014-2025 годы"
Номер опубликования: 1700202111120012
Дата опубликования: 12.11.2021
Страница №17 из 46:
Увеличить