Официальное опубликование правовых актов
ОФИЦИАЛЬНОЕ ОПУБЛИКОВАНИЕ
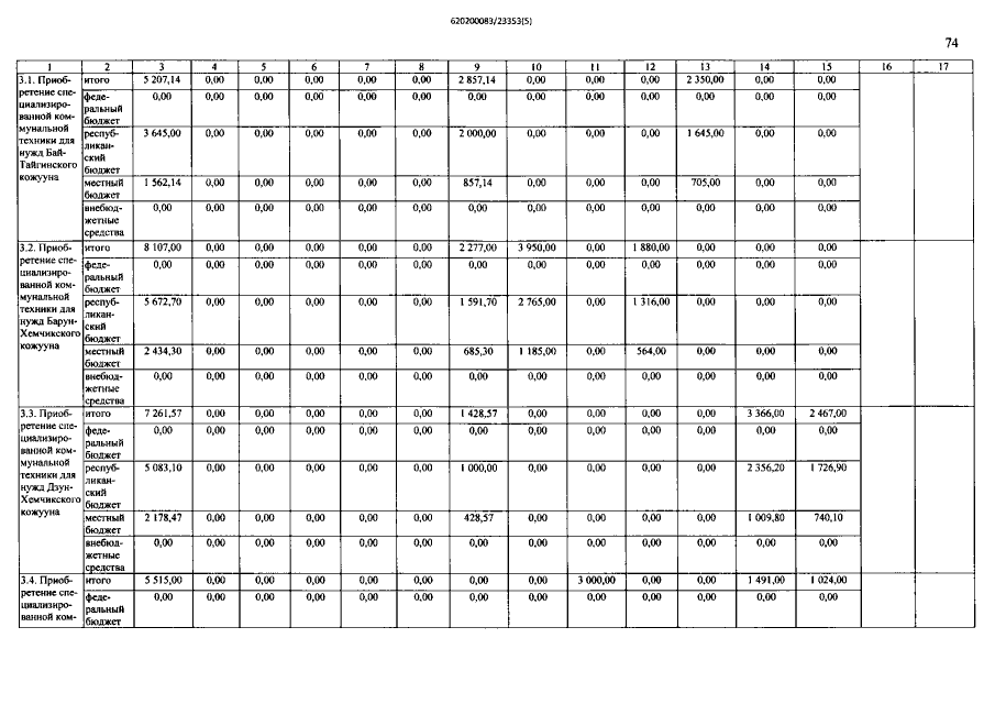
Постановление Правительства Республики Тыва от 19.10.2021 № 565
"О внесении изменений в государственную программу Республики Тыва "Повышение эффективности и надежности функционирования жилищно-коммунального хозяйства Республики Тыва на 2014-2025 годы"
Номер опубликования: 1700202110250010
Дата опубликования: 25.10.2021
Страница №74 из 117:
Увеличить