Официальное опубликование правовых актов
ОФИЦИАЛЬНОЕ ОПУБЛИКОВАНИЕ
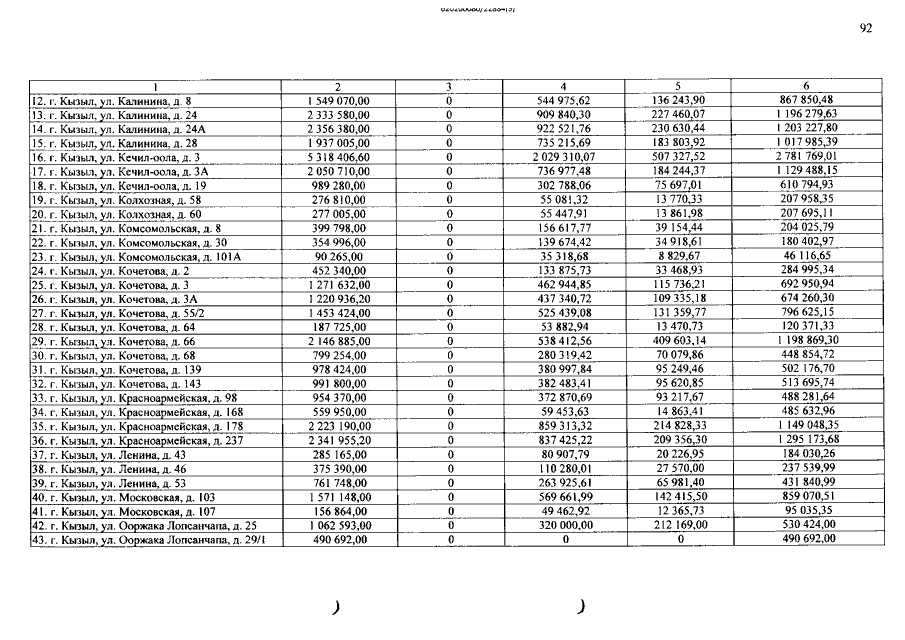
Постановление Правительства Республики Тыва от 05.07.2021 № 322
"О внесении изменений в региональную программу "Капитальный ремонт общего имущества в многоквартирных домах, расположенных на территории Республики Тыва, на 2014-2043 годы"
Номер опубликования: 1700202107140001
Дата опубликования: 14.07.2021
Страница №92 из 119:
Увеличить