Официальное опубликование правовых актов
ОФИЦИАЛЬНОЕ ОПУБЛИКОВАНИЕ
Постановление Правительства Республики Тыва от 07.06.2021 № 270
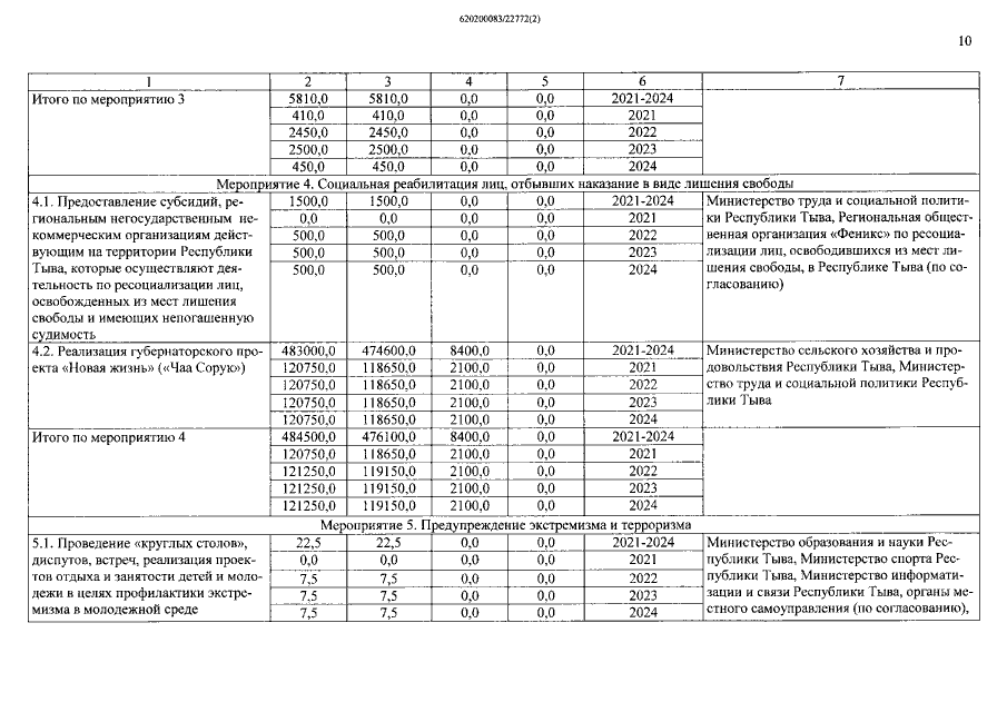
"О внесении изменений в государственную программу Республики Тыва "Обеспечение общественного порядка и противодействие преступности в Республике Тыва на 2021-2024 годы"
Номер опубликования: 1700202106100002
Дата опубликования: 10.06.2021
Страница №10 из 35:
Увеличить