Постановление Правительства Республики Тыва от 29.03.2021 № 149
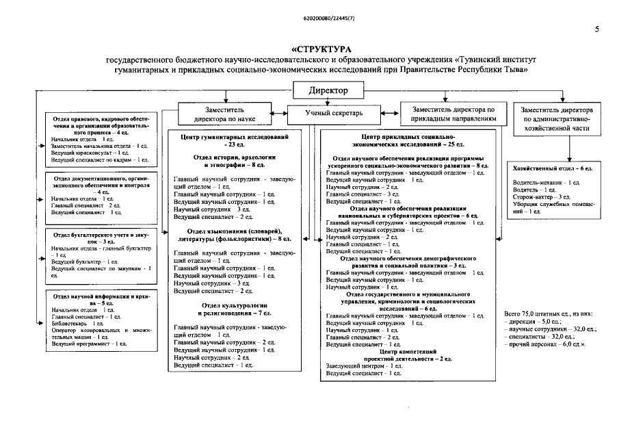
"О внесении изменений в Устав и структуру государственного бюджетного научно-исследовательского и образовательного учреждения "Тувинский институт гуманитарных и прикладных социально-экономических исследований при Правительстве Республики Тыва"
"О внесении изменений в Устав и структуру государственного бюджетного научно-исследовательского и образовательного учреждения "Тувинский институт гуманитарных и прикладных социально-экономических исследований при Правительстве Республики Тыва"
Номер опубликования: 1700202103300004
Дата опубликования:
30.03.2021
