Официальное опубликование правовых актов
ОФИЦИАЛЬНОЕ ОПУБЛИКОВАНИЕ
Постановление Правительства Республики Тыва от 25.12.2020 № 664
"О внесении изменений в постановление Правительства Республики Тыва от 30 ноября 2016 г. № 518"
Номер опубликования: 1700202012280005
Дата опубликования: 28.12.2020
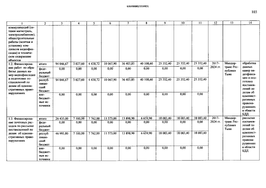
Страница №103 из 130:
Увеличить