Постановление Правительства Республики Тыва от 11.09.2020 № 439
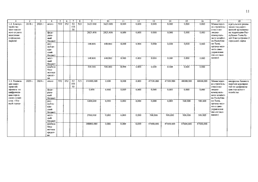
"О внесении изменений в государственную программу Республики Тыва "Формирование современной городской среды на 2018-2024 годы"
"О внесении изменений в государственную программу Республики Тыва "Формирование современной городской среды на 2018-2024 годы"
Номер опубликования: 1700202009150002
Дата опубликования:
15.09.2020
