Официальное опубликование правовых актов
ОФИЦИАЛЬНОЕ ОПУБЛИКОВАНИЕ
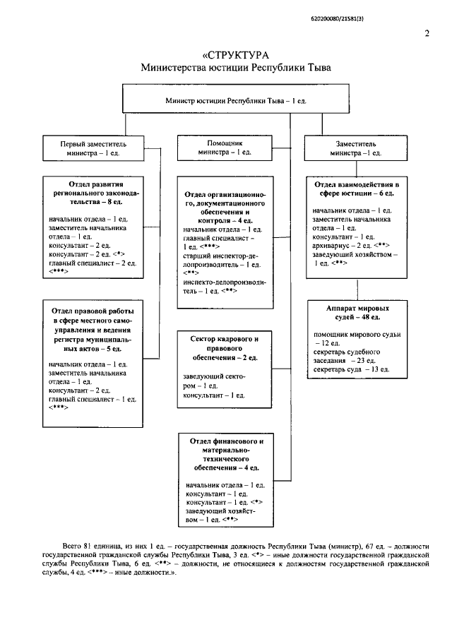
Постановление Правительства Республики Тыва от 14.08.2020 № 371
"О внесении изменения в структуру Министерства юстиции Республики Тыва"
Номер опубликования: 1700202008180001
Дата опубликования: 18.08.2020
Страница №2 из 3:
Увеличить