Официальное опубликование правовых актов
ОФИЦИАЛЬНОЕ ОПУБЛИКОВАНИЕ
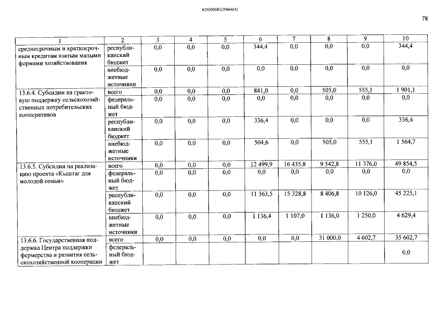
Постановление Правительства Республики Тыва от 03.12.2019 № 573 "О внесении изменений в государственную программу Республики Тыва "Развитие сельского хозяйства и регулирование рынков сельскохозяйственной продукции, сырья и продовольствия в Республике Тыва на 2014-2020 годы"
Номер опубликования: 1700201912040001
Дата опубликования: 04.12.2019
Страница №78 из 81:
Увеличить