Официальное опубликование правовых актов
ОФИЦИАЛЬНОЕ ОПУБЛИКОВАНИЕ
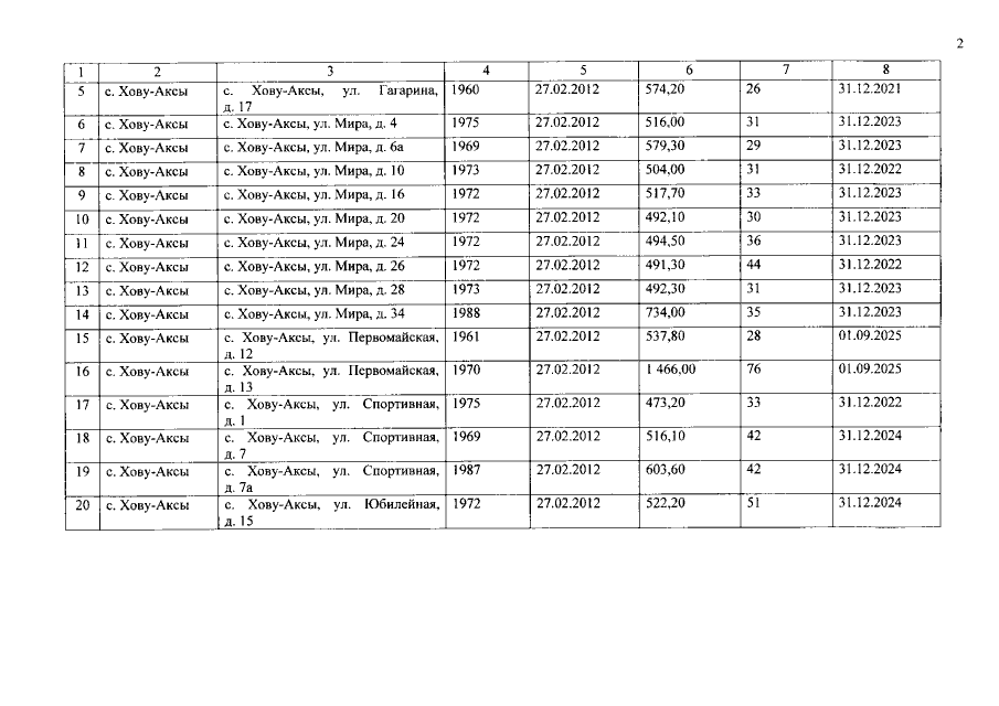
Постановление Правительства Республики Тыва от 29.03.2019 № 143 "Об утверждении республиканской адресной программы по переселению граждан из аварийного жилищного фонда в Республике Тыва на 2019-2025 годы"
Номер опубликования: 1700201904020001
Дата опубликования: 02.04.2019
Страница №15 из 23:
Увеличить