Официальное опубликование правовых актов
ОФИЦИАЛЬНОЕ ОПУБЛИКОВАНИЕ
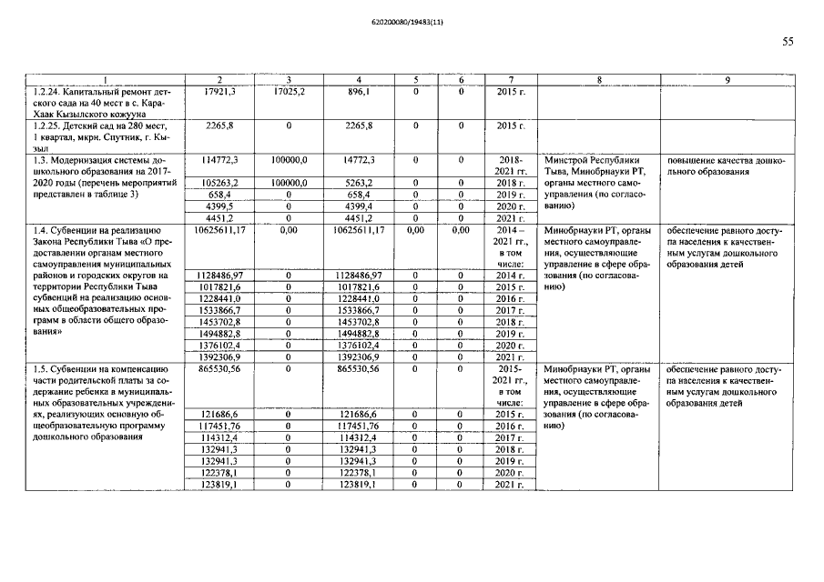
Постановление Правительства Республики Тыва от 23.01.2019 № 29 "О внесении изменений в некоторые постановления Правительства Республики Тыва в сфере образования и признании утратившим силу постановления Правительства Республики Тыва от 7 апреля 2017 г. № 156"
Номер опубликования: 1700201901250006
Дата опубликования: 25.01.2019
Страница №55 из 187:
Увеличить