Официальное опубликование правовых актов
ОФИЦИАЛЬНОЕ ОПУБЛИКОВАНИЕ
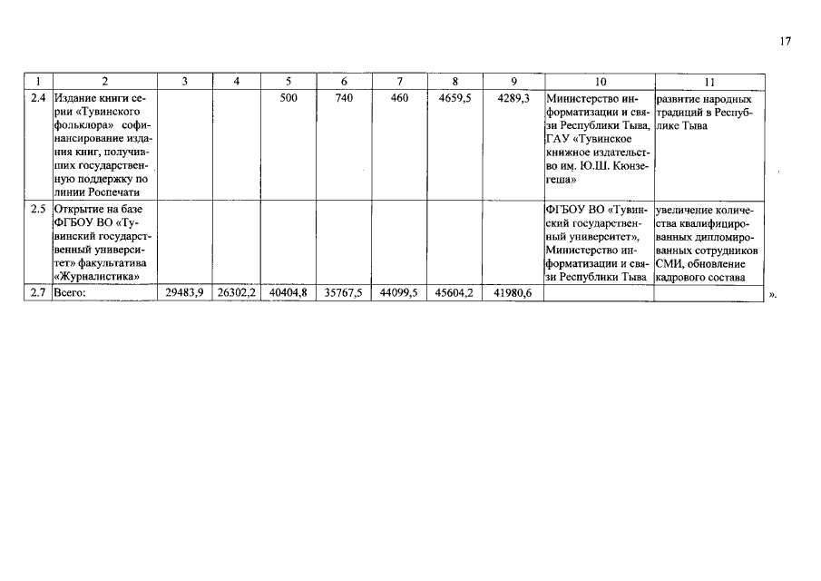
Постановление Правительства Республики Тыва от 09.01.2019 № 3 "О внесении изменений в государственную программу "Развитие информационного общества и средств массовой информации в Республике Тыва на 2014-2020 годы"
Номер опубликования: 1700201901110008
Дата опубликования: 11.01.2019
Страница №17 из 18:
Увеличить