Официальное опубликование правовых актов
ОФИЦИАЛЬНОЕ ОПУБЛИКОВАНИЕ
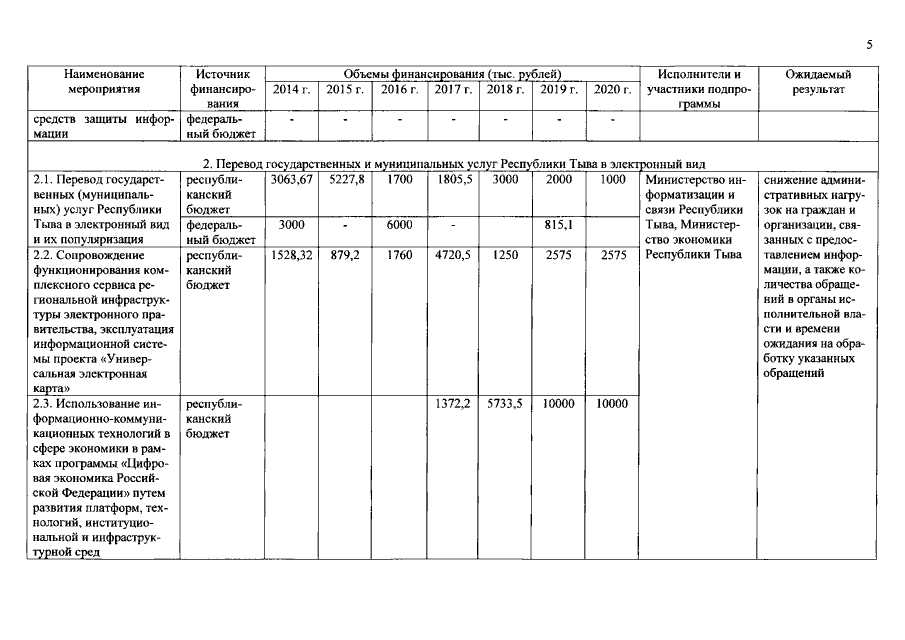
Постановление Правительства Республики Тыва от 28.06.2018 № 337 "О внесении изменений в государственную программу "Развитие информационного общества и средств массовой информации в Республике Тыва на 2014-2020 годы"
Номер опубликования: 1700201807060010
Дата опубликования: 06.07.2018
Страница №5 из 38:
Увеличить