Официальное опубликование правовых актов
ОФИЦИАЛЬНОЕ ОПУБЛИКОВАНИЕ
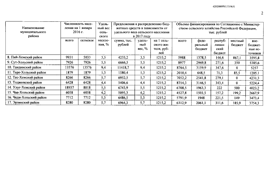
Постановление Правительства Республики Тыва от 28.06.2017 № 290 "О распределении субсидий, предоставляемых в 2017 году из федерального и республиканского бюджетов на софинансирование расходных обязательств муниципальных образований Республики Тыва, связанных с реализацией мероприятий по улучшению жилищных условий граждан, проживающих в сельской местности, в том числе молодых семей и молодых специалистов, в рамках подпрограммы "Устойчивое развитие сельских территорий Республики Тыва на 2014-2017 годы и на период до 2020 года" государственной программы Республики Тыва "Развитие сельского хозяйства и регулирование рынков сельскохозяйственной продукции, сырья и продовольствия в Республике Тыва на 2014-2020 годы"
Номер опубликования: 1700201706300003
Дата опубликования: 30.06.2017
Страница №4 из 15:
Увеличить