Официальное опубликование правовых актов
ОФИЦИАЛЬНОЕ ОПУБЛИКОВАНИЕ
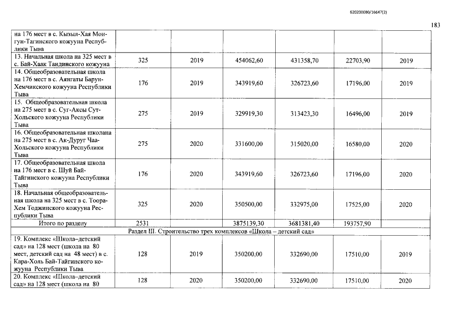
Постановление Правительства Республики Тыва от 13.01.2017 № 3 "О внесении изменений в государственную программу Республики Тыва "Развитие образования и науки на 2014-2025 годы"
Номер опубликования: 1700201701170001
Дата опубликования: 17.01.2017
Страница №183 из 190:
Увеличить