Официальное опубликование правовых актов
ОФИЦИАЛЬНОЕ ОПУБЛИКОВАНИЕ
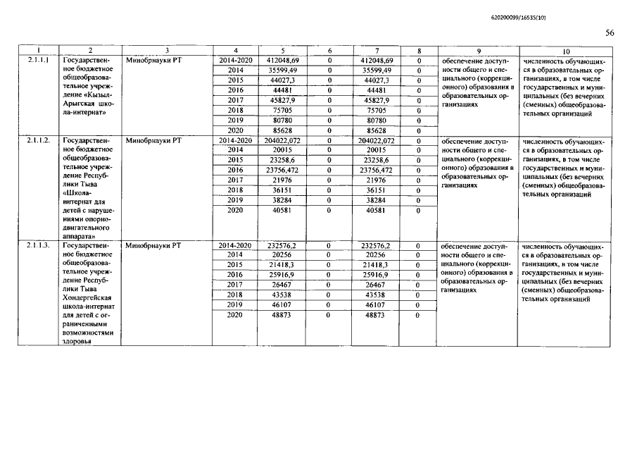
Постановление Правительства Республики Тыва от 14.12.2016 № 524 "О внесении изменений в государственную программу Республики Тыва "Развитие образования и науки на 2014-2025 годы"
Номер опубликования: 1700201612150001
Дата опубликования: 15.12.2016
Страница №56 из 147:
Увеличить