Официальное опубликование правовых актов
ОФИЦИАЛЬНОЕ ОПУБЛИКОВАНИЕ
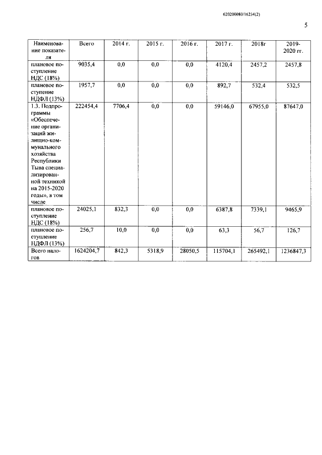
Постановление Правительства Республики Тыва от 14.09.2016 № 399 "О внесении изменений в государственную программу Республики Тыва "Повышение эффективности и надежности функционирования жилищно-коммунального хозяйства Республики Тыва на 2014-2020 годы"
Номер опубликования: 1700201609150002
Дата опубликования: 15.09.2016
Страница №5 из 11:
Увеличить