Официальное опубликование правовых актов
ОФИЦИАЛЬНОЕ ОПУБЛИКОВАНИЕ
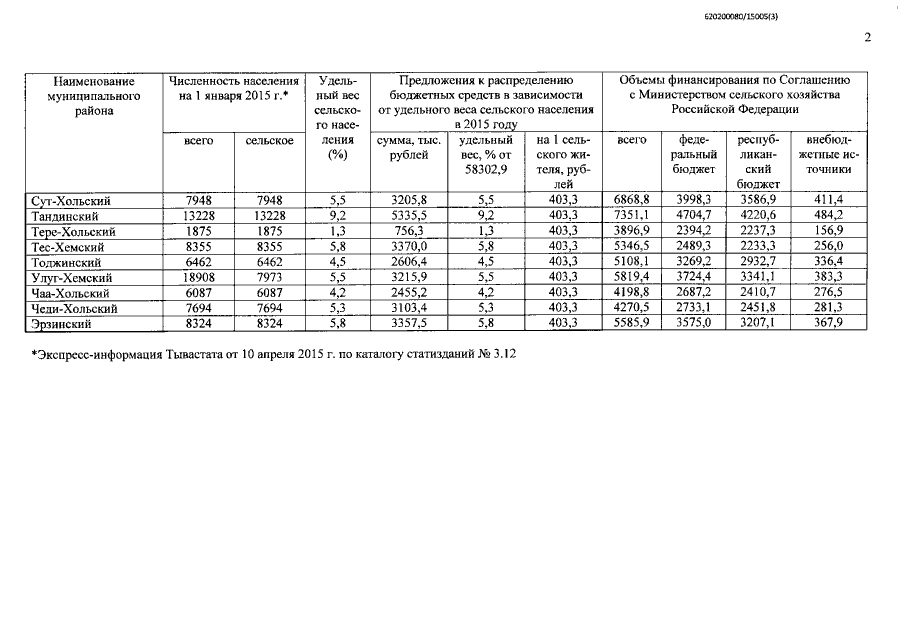
Постановление Правительства Республики Тыва от 15.09.2015 № 438 "О распределении субсидий, предоставляемых в 2015 году из федерального и республиканского бюджетов на софинансирование расходных обязательств муниципальных образований Республики Тыва, связанных с реализацией мероприятий по улучшению жилищных условий граждан, проживающих в сельской местности, в том числе молодых семей и молодых специалистов, в рамках подпрограммы "Устойчивое развитие сельских территорий на 2014-2017 годы и на период до 2020 года" государственной программы Республики Тыва "Развитие сельского хозяйства и регулирование рынков сельскохозяйственной продукции, сырья и продовольствия в Республике Тыва на 2014-2020 годы"
Номер опубликования: 1700201509210004
Дата опубликования: 21.09.2015
Страница №4 из 12:
Увеличить