Официальное опубликование правовых актов
ОФИЦИАЛЬНОЕ ОПУБЛИКОВАНИЕ
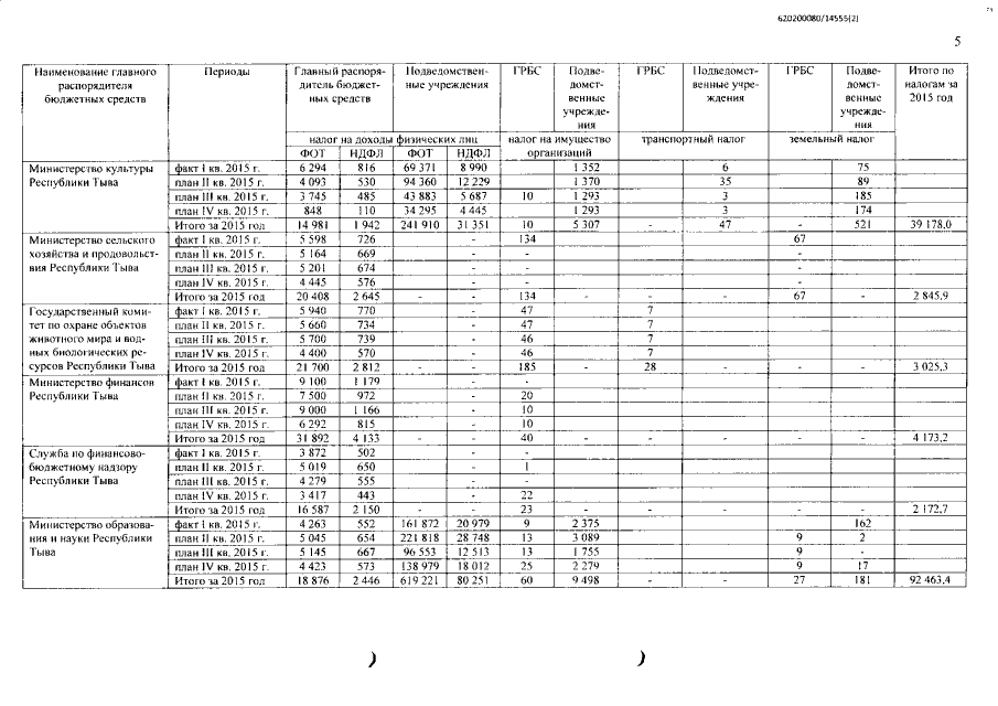
Распоряжение Правительства Республики Тыва от 14.05.2015 № 214-р "Об установлении индикативных показателей на 2015 год по полноте уплаты налоговых платежей главными распорядителями бюджетных средств республиканского бюджета Республики Тыва, подведомственными учреждениями и муниципальными образованиями"
Номер опубликования: 1700201505140008
Дата опубликования: 14.05.2015
Страница №7 из 23:
Увеличить