Официальное опубликование правовых актов
ОФИЦИАЛЬНОЕ ОПУБЛИКОВАНИЕ
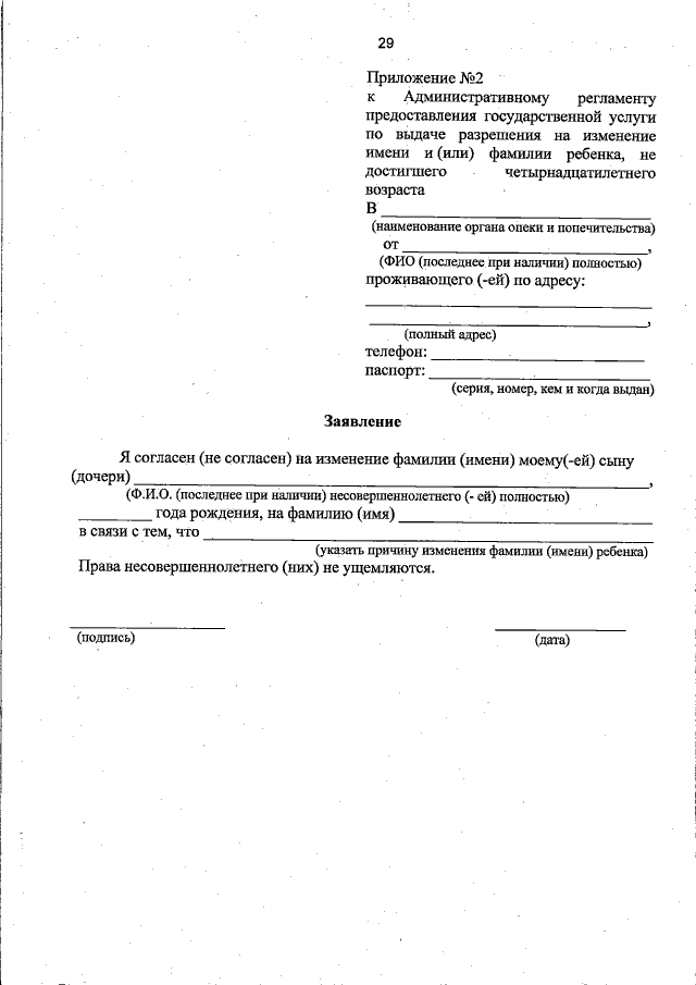
Приказ Министерства образования и науки Республики Татарстан от 22.08.2022 № под-1405/22
"Об утверждении Административного регламента предоставления государственной услуги по выдаче разрешения на изменение имени и (или) фамилии ребенка, не достигшего четырнадцатилетнего возраста"
(Зарегистрирован 13.09.2022 № 9442)
Номер опубликования: 1601202209140001
Дата опубликования: 14.09.2022
Страница №30 из 48:
Увеличить