Официальное опубликование правовых актов
ОФИЦИАЛЬНОЕ ОПУБЛИКОВАНИЕ
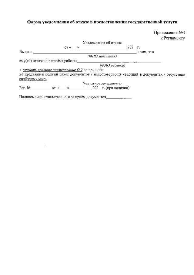
Приказ Министерства образования и науки Республики Татарстан от 27.05.2021 № под-777/21
"Об утверждении Административного регламента предоставления государственной услуги по приему заявлений о зачислении в государственные общеобразовательные организации Республики Татарстан"
(Зарегистрирован 28.05.2021 № 7696)
Номер опубликования: 1601202106020001
Дата опубликования: 02.06.2021
Страница №44 из 48:
Увеличить