Официальное опубликование правовых актов
ОФИЦИАЛЬНОЕ ОПУБЛИКОВАНИЕ
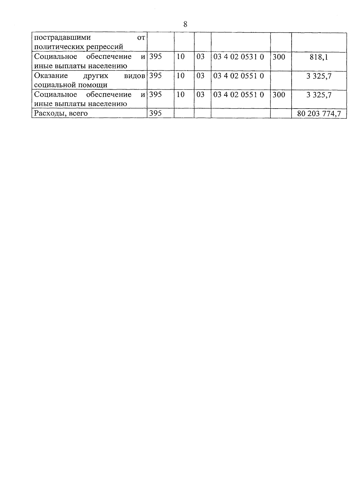
Закон Республики Татарстан от 18.06.2025 № 36-ЗРТ
"Об исполнении бюджета Территориального фонда обязательного медицинского страхования Республики Татарстан за 2024 год"
Номер опубликования: 1600202506200002
Дата опубликования: 20.06.2025
Страница №19 из 37:
Увеличить