Официальное опубликование правовых актов
ОФИЦИАЛЬНОЕ ОПУБЛИКОВАНИЕ
Постановление Кабинета Министров Республики Татарстан от 18.12.2024 № 1160
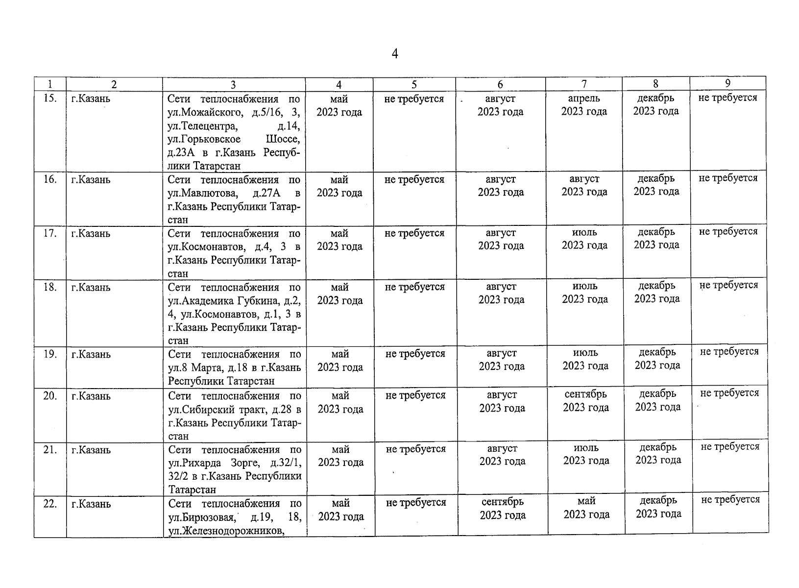
"О внесении изменений в Региональную программу по модернизации систем коммунальной инфраструктуры в Республике Татарстан на 2023 – 2027 годы, утвержденную постановлением Кабинета Министров Республики Татарстан от 24.05.2023 № 633 "Об утверждении Региональной программы по модернизации систем коммунальной инфраструктуры в Республике Татарстан на 2023 – 2027 годы"
Номер опубликования: 1600202412180003
Дата опубликования: 18.12.2024
Страница №39 из 48:
Увеличить