Официальное опубликование правовых актов
ОФИЦИАЛЬНОЕ ОПУБЛИКОВАНИЕ
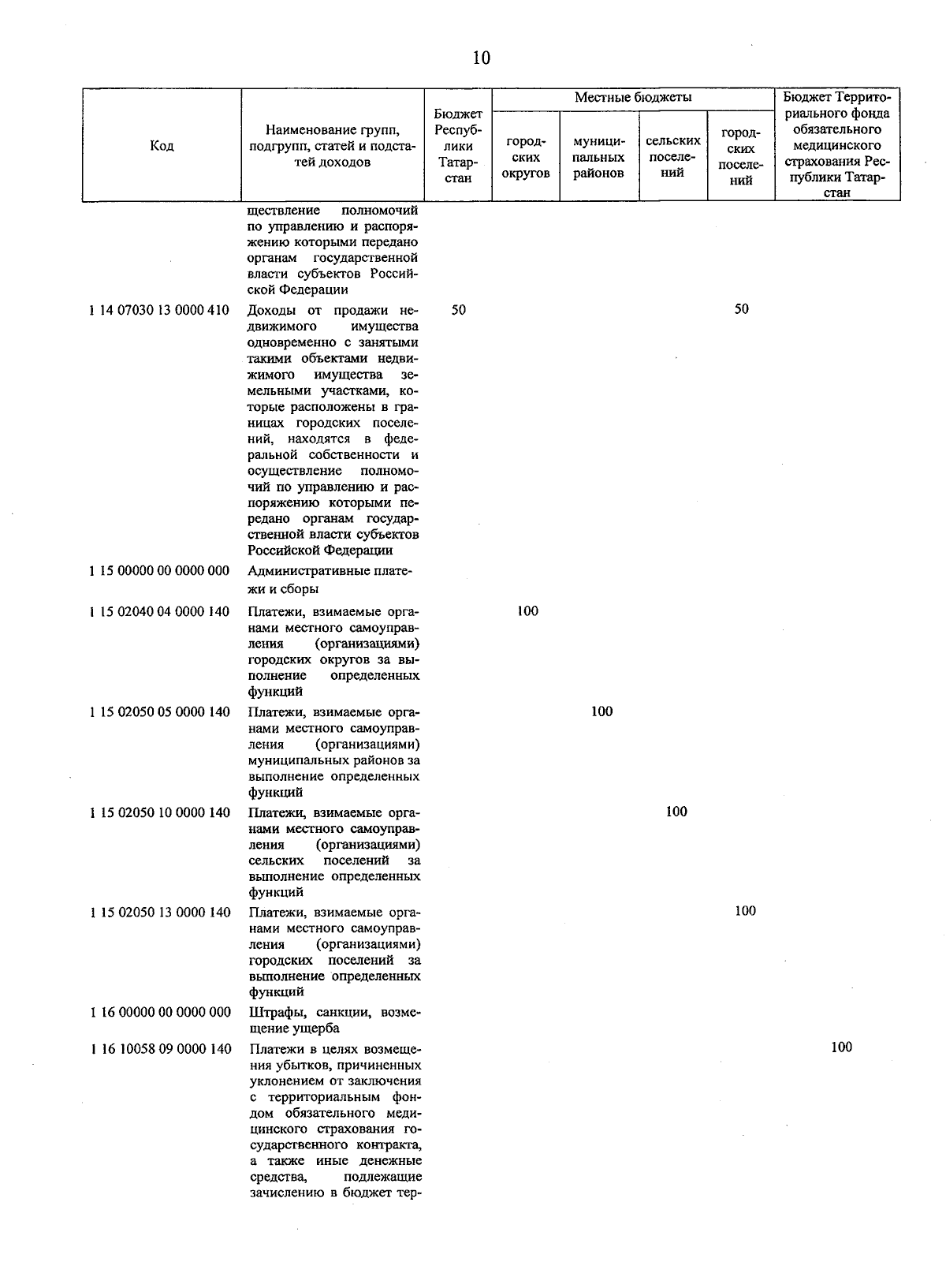
Закон Республики Татарстан от 28.11.2024 № 87-ЗРТ
"О бюджете Республики Татарстан на 2025 год и на плановый период 2026 и 2027 годов"
Номер опубликования: 1600202412060002
Дата опубликования: 06.12.2024
Страница №41 из 3126:
Увеличить