Официальное опубликование правовых актов
ОФИЦИАЛЬНОЕ ОПУБЛИКОВАНИЕ
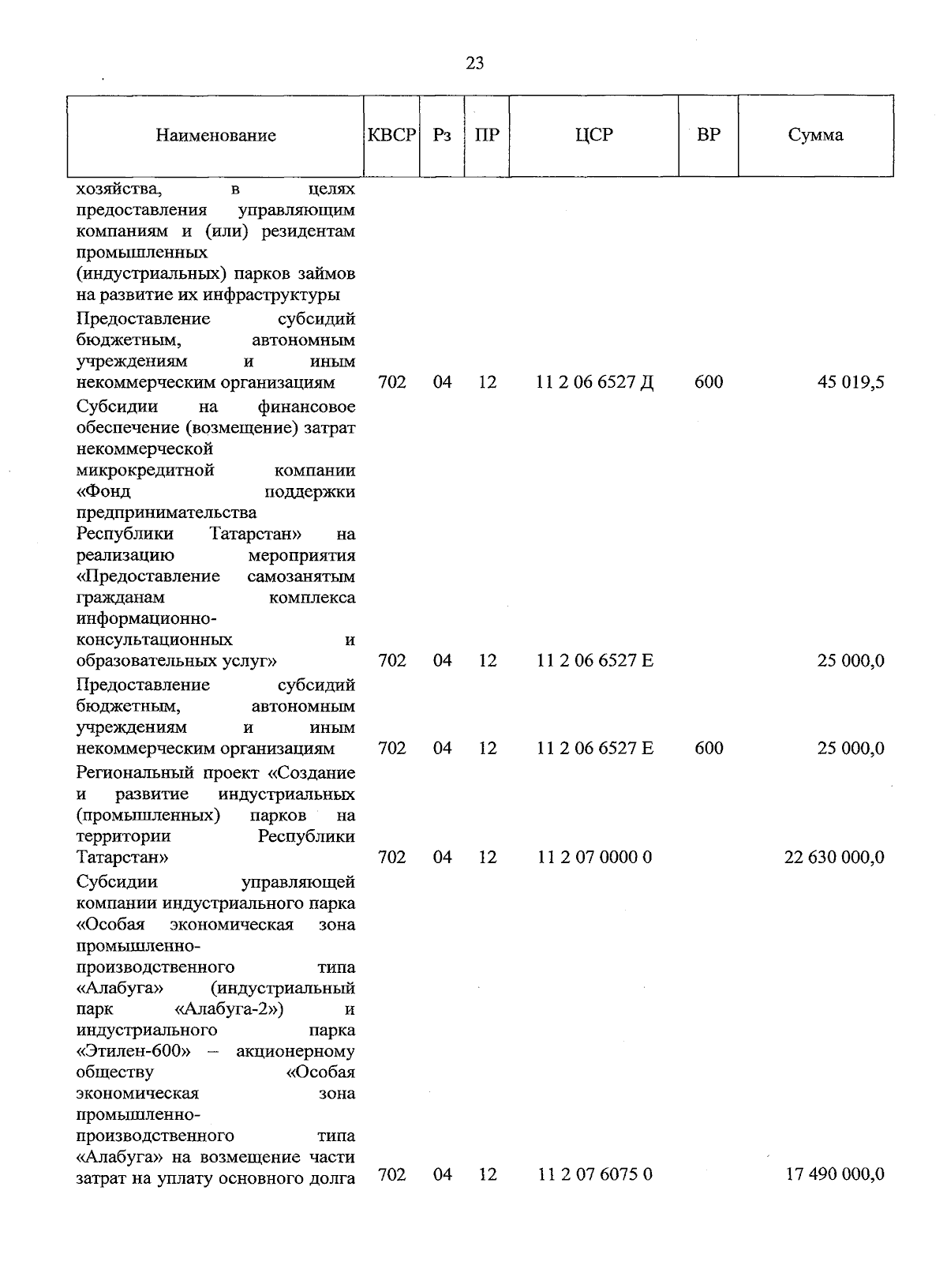
Закон Республики Татарстан от 27.09.2024 № 67-ЗРТ
"О внесении изменений в Закон Республики Татарстан "О бюджете Республики Татарстан на 2024 год и на плановый период 2025 и 2026 годов"
Номер опубликования: 1600202410030001
Дата опубликования: 03.10.2024
Страница №23 из 1670:
Увеличить