Официальное опубликование правовых актов
ОФИЦИАЛЬНОЕ ОПУБЛИКОВАНИЕ
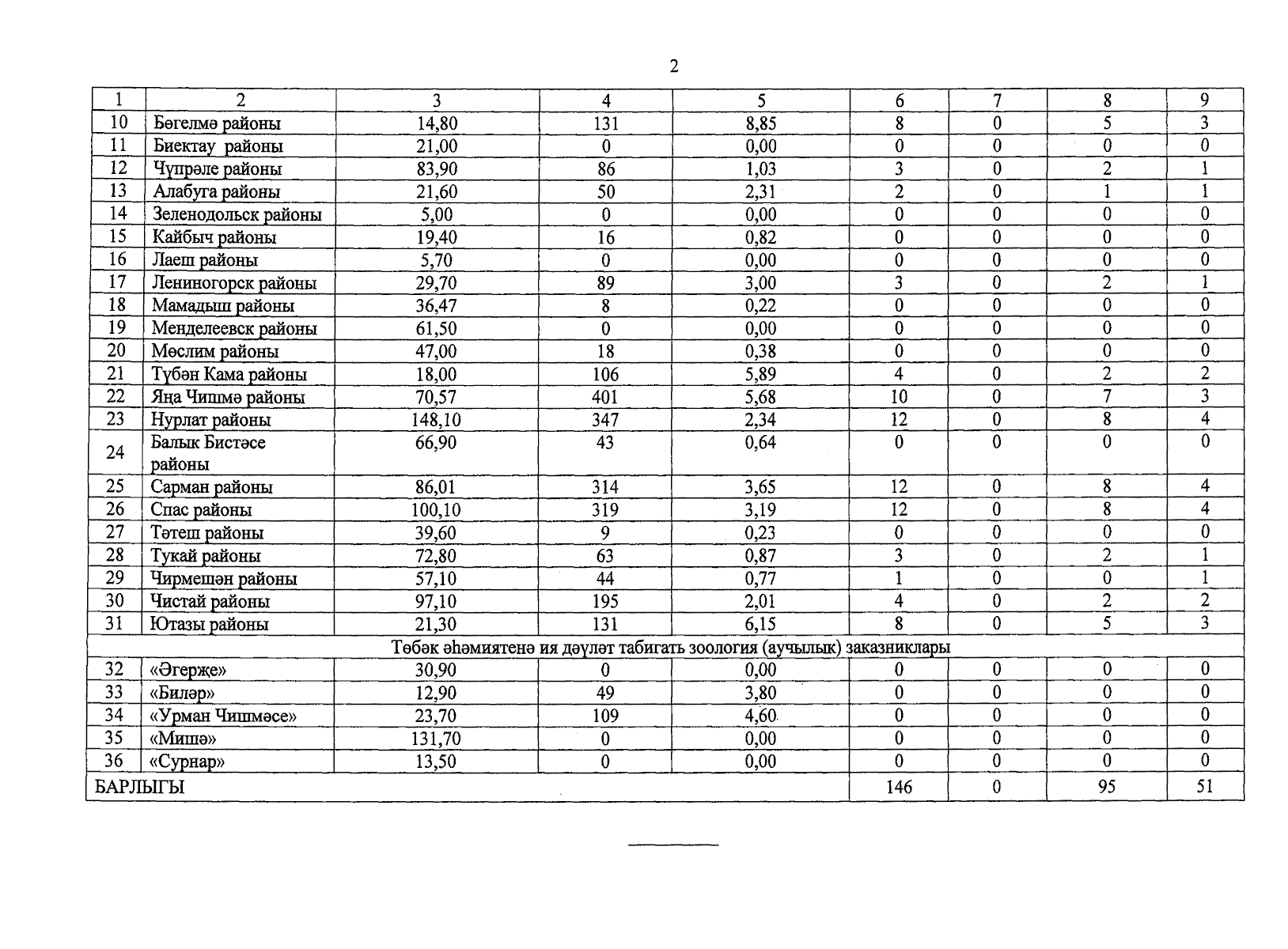
Указ Раиса Республики Татарстан от 26.07.2024 № 567
"Об утверждении лимита добычи охотничьих ресурсов на территории Республики Татарстан на период с 1 августа 2024 года до 1 августа 2025 года"
Номер опубликования: 1600202407290001
Дата опубликования: 29.07.2024
Страница №58 из 84:
Увеличить