Официальное опубликование правовых актов
ОФИЦИАЛЬНОЕ ОПУБЛИКОВАНИЕ
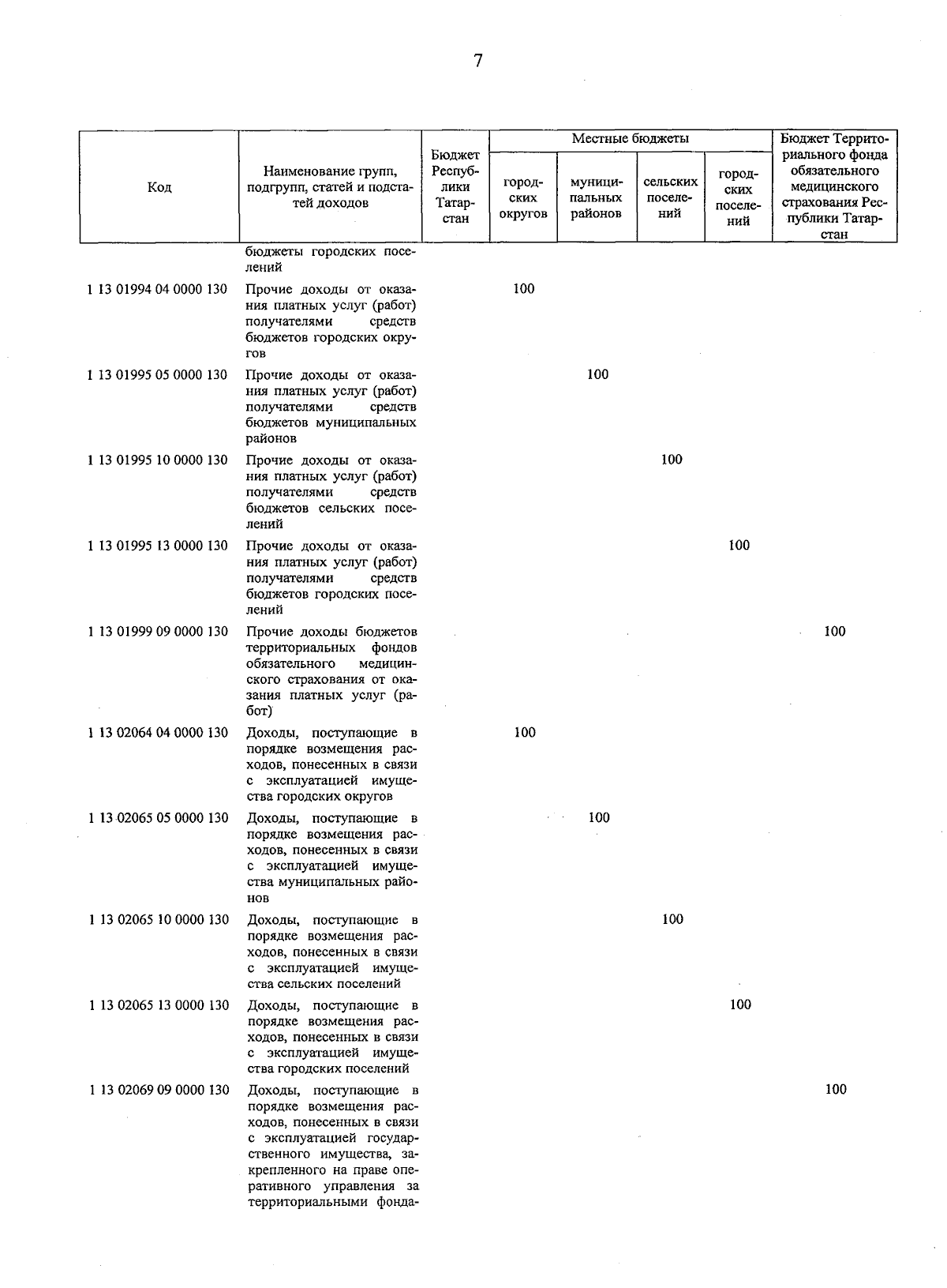
Закон Республики Татарстан от 28.11.2023 № 116-ЗРТ
"О бюджете Республики Татарстан на 2024 год и на плановый период 2025 и 2026 годов"
Номер опубликования: 1600202312040004
Дата опубликования: 04.12.2023
Страница №39 из 2985:
Увеличить